Select your timezone:

P.161 Small molecule inhibitor of toll-like receptor-4, TAK-242, attenuates allogenic immune responses in vitro

Bashoo Naziruddin, United States

Director
Islet Cell Laboratory
Baylor Simmons Transplant Institute

Abstract

Small molecule inhibitor of toll-like receptor-4, TAK-242, attenuates allogenic immune responses in vitro

Jordan Mattke2, Michael A. Plunk2, Robert R. Kane2, Bashoo Naziruddin1.

1Islet Cell Laboratory, Baylor Scott and White Research Institute, Dallas, TX, United States; 2Department of Chemistry, Baylor University, Waco, TX, United States

Introduction: Development of innate and adaptive immune response against transplanted islets has a major impact on the poor long term survival of allogenic islet transplants. Our previous studies have shown that TAK-242, a small molecule inhibitor of toll-like receptor-4 either in a soluble form or covalently linked to the islet surface can effectively protect islets from damage inflicted by sterile inflammation in vitro and also prolongs survival of syngeneic islet transplants. Based on recent reports indicating crosstalk between TLR-4 and major histocompatibility complex molecules, we hypothesized that TAK-242 can inhibit proliferation of lymphocytes in response to allogenic stimulation.

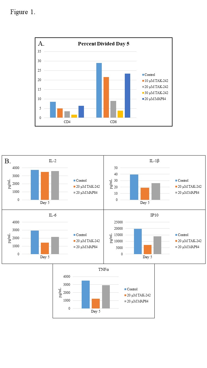
Methods: Human peripheral blood mononuclear cells labeled with carboxyfluorescein succinimidyl ester were tested for proliferation in a one-way mixed lymphocyte reaction against mitomycin treated, CellTrace Violet-labeled allogenic splenocytes as stimulators. Proliferation of CD4+ and CD8+ T cells was analyzed by flow cytometry. Concentrations of pro-inflammatory cykokines in the culture supernatant was measured by Luminex Multiplex Bead Assay. Varying concentrations (0-30 µM) of TAK242 or MAP84, an inactive structure analog of TAK242, were added to the culture medium.

Results: Addition of TAK-242 to the mixed lymphocyte reaction dose dependently inhibited proliferation of both CD4+ and CD8+ T cells (Fig. 1A). The inhibition of proliferation was optimal on day 5. Proliferation of CD4+ and CD8+ T cells was not affected by the addition of MAP84 at similar concentrations. Cytokine measurements showed that IL-2 concentrations were not inhibited by TAK-242. However, proinflammatory cytokines IL-1beta, IL-6, IP-10 and TNF-alpha were significantly inhibited specifically by TAK-242 (Fig. 1B). These results mirrored our previous data showing TAK-242 inhibition of pro-inflammatory cytokines by islets stimulated with TLR-4 ligands.

Conclusion: The present data has shown for the first time that blockade of toll-like receptor-4 by TAK-242 is an effective method to attenuate development of T cell response against allogenic targets in addition to the inhibition of inflammation. Crosstalk between TLR pathway with other critical receptors involved the development of immune response is likely to play a role in this inhibition. Further experiments to decipher the mechanism underlying this unique immunosuppressive property of TAK-242 are in progress.